Zobacz podgałęzie
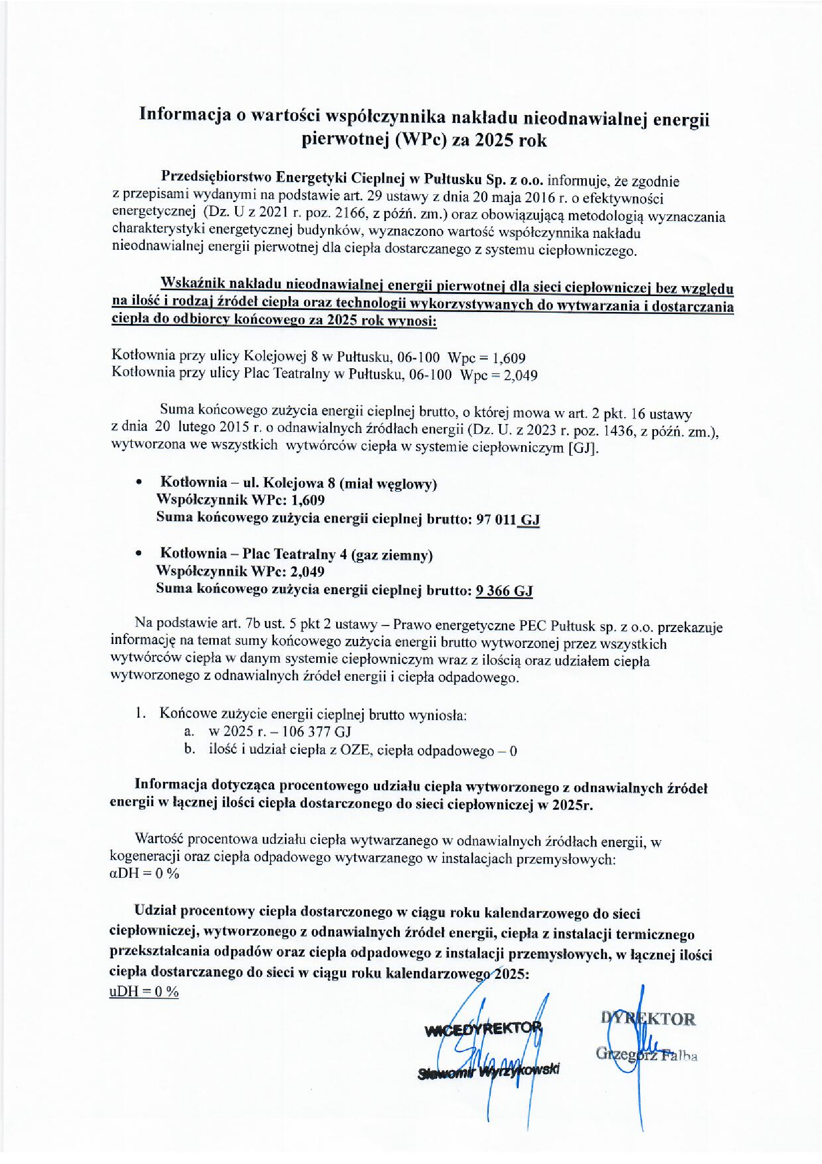
Informacja o wartości współczynnika nakładu nieodnawialnej energii pierwotnej (Wpc) za 2025 rok.

Sprawozdanie z działań mających na celu osiągnięcie efektywnego energetycznie systemu ciepłowniczego, o którym mowa w art. 7b ust. 5 pkt 1 ustawy z dnia 10 kwietnia 1997 r. - Prawo energetyczne (Dz. U. z 2022 poz. 1385, z późń. zm.) za rok 2025 dla źródła ciepła przy ulicy Plac Teatralny 4 w Pułtusku 06-100.


Sprawozdanie z działań mających na celu osiągnięcie efektywnego energetycznie systemu ciepłowniczego, o którym mowa w art. 7b ust. 5 pkt 1 ustawy z dnia 10 kwietnia 1997 r. - Prawo energetyczne (Dz. U. z 2022 poz. 1385, z późń. zm.) za rok 2025 dla źródła ciepła przy ulicy Kolejowej 8 w Pułtusku 06-100.






Sprawozdanie z działań mających na celu osiągnięcie efektywnego energetycznie systemu ciepłowniczego, o którym mowa w art. 7b ust. 5 pkt 1 ustawy z dnia 10 kwietnia 1997r. - Prawo Energetyczne (Dz. U. z 2022r. poz. 1385, z późn. zm.) za rok 2024)




Współczynnik nakładu nieodnawialnej energii pierwotnej na wytwarzanie i dostarczanie energii dla sieci ciepłowniczych w Pułtusku w 2024r.
Informacja dotycząca procentowego udziału ciepła wytworzonego z odnawialnych źródeł energii w łącznej ilości ciepła dostarczonego do sieci ciepłowniczej w 2024r.

Informacja dotycząca procentowego udziału ciepła wytworzonego z odnawialnych źródeł energii w łącznej ilości ciepła dostarczonego do sieci ciepłowniczej w 2022r.

Pułtusk, dnia 11.10.2022r.
Szanowni Państwo,
Zarząd PEC Pułtusk Sp. z o.o. uprzejmie informuje, iż zgodnie z ustawą z dnia 15 września 2022r. o szczególnych rozwiązaniach w zakresie niektórych źródeł ciepła w związku z sytuacją na rynku paliw gospodarstwa domowe zostały wskazane jako grupa odbiorców ciepła uprawniona do stosowania wobec nich średnich cen wytwarzania ciepła z rekompensatą bez obowiązku składania oświadczenia.
Prosimy jednak o przekazanie informacji, w przypadku, gdy dostarczone ciepło nie jest wykorzystywane w 100% na potrzeby gospodarstwa domowego.
W załączeniu oświadczenie o podziale wykorzystywania ciepła dostarczonego do obiektu na potrzeby gospodarstwa domowego.
Oświadczenia prosimy składać w siedzibie PEC Pułtusk Sp. z o.o.
W związku z powyższym sekretariat PEC Pułtusk Sp. z o.o. jest czynny w dniu 11.10.2022r. do godziny 20:00.
Oświadczenie do pobrania:
Komunikat dla odbiorców ciepła
Komunikat
dla odbiorców ciepła
w sprawie średniej ceny wytwarzania ciepła z rekompensatą
W związku z wejściem w życie:
- Ustawy z dnia 15 września 2022 r. o szczególnych rozwiązaniach w zakresie niektórych źródeł ciepła w związku z sytuacją na rynku paliw (Dz. U. 2022 poz. 1967), dalej „ustawa”
- Rozporządzenia Ministra Klimatu i Środowiska z dnia 20 września 2022 r. w sprawie wzorów oświadczeń składanych przez odbiorców ciepła niebędących gospodarstwami domowymi w celu skorzystania ze szczególnych rozwiązań w związku z sytuacją na rynku paliw (Dz. U. 2022 poz. 1975), dalej „rozporządzenie”
PEC Pułtusk sp. z o.o. z siedzibą w Pułtusku ul. Mickiewicza 36 informuje:
Odbiorcy ciepła, którym przysługuje średnia cena wytwarzania ciepła z rekompensatą to (art. 4 ust.1 ustawy):
- Gospodarstwa domowe – odbiorcy ciepła w gospodarstwach domowych, którzy mają zawartą umowę sprzedaży ciepła z PEC Sp. z o.o. - nie są zobowiązani do składania oświadczeń
- Odbiorcy ciepła, o których mowa w art. 4 ust. 1 pkt 2 i 3 ustawy - składają oświadczenia o których mowa w art. 5 ust. 1 ustawy. Wzór oświadczenia stanowi Załącznik nr 1 do rozporządzenia i jest do pobrania na dole komunikatu
- Odbiorcy ciepła, o których mowa w art. 4 ust. 1 pkt 4 ustawy - składają oświadczenia o których mowa w art. 6 ust. 1 ustawy. Wzór oświadczenia stanowi Załącznik nr 2 do rozporządzenia i jest do pobrania na dole komunikatu.
Odbiorcy ciepła składają ww. oświadczenia w siedzibie PEC Pułtusk Sp. z o.o. w terminie do dnia 11 października 2022 r. (art. 5 ust. 4, art. 6 ust. 4, art. 7 ust. 2, art. 8 ust. 2 ustawy).
Odbiorcy w oświadczeniu określają szacowaną ilość ciepła w rozbiciu na poszczególne miesiące od 1 października 2022r. do 30 kwietnia 2023r.
Określenie szacowanej ilości ciepła w oświadczeniu jest dokonywane przez odbiorcę zgodnie z zasadami określonymi w art. 45a ustawy – Prawo energetyczne lub z uwzględnieniem powierzchni lokali mieszkalnych i użytkowych, charakteru prowadzonej w nich działalności oraz posiadanych danych historycznych.
Oświadczenia należy złożyć w wersji elektronicznej na adres: pec@pultusk.pl lub w wersji papierowej na adres:
Przedsiębiorstwo Energetyki Cieplnej w Pułtusku Sp. z o.o.
Ul. Mickiewicza 36
06-100 Pułtusk
Oświadczenia składają osoby uprawnione do reprezentowania podmiotów, podpisując je własnoręcznie, kwalifikowanym podpisem elektronicznym, podpisem zaufanym albo podpisem osobistym.
Zgodnie z art. 4 ust. 2 ww. ustawy średniej ceny wytwarzania ciepła z rekompensatą nie stosuje się w rozliczeniach z odbiorcami korzystającymi ze wsparcia na cele ogrzewania na podstawie:
-
ustawy z dnia 26 stycznia 2022 r. o szczególnych rozwiązaniach służących ochronie odbiorców paliw gazowych w związku z sytuacją na rynku gazu, lub
-
ustawy z dnia 5 sierpnia 2022 r. o dodatku węglowym, lub
-
Art. 24 lub art. 26 ustawy z dnia 15 września 2022 r. o szczególnych rozwiązaniach w zakresie niektórych źródeł ciepła w związku z sytuacją na rynku paliw.
Jeżeli korzystacie Państwo ze wsparcia na cele ogrzewania na podstawie ww. ustaw prosimy o przekazanie informacji, w celu nie stosowania w rozliczeniach średniej ceny wytwarzania ciepła z rekompensatą.
Do pobrania:
Ustawa:
https://dziennikustaw.gov.pl/D2022000196701.pdf
Rozporządzenie:
https://isap.sejm.gov.pl/isap.nsf/download.xsp/WDU20220001975/O/D20221975.pdf
Wzory oświadczeń:
/pliki/pecpultusk/oswiadczenie_odbiorcy_ciepla_-_art._6_ust._1_pozostali_odbiorcy_wrazliwi.docx
Mechanizm średniej ceny wytwarzania z rekompensatą:
https://www.gov.pl/web/klimat/mechanizm-sredniej-ceny-wytwarzania-z-rekompensata
Ważny komunikat dotyczący odbiorców
Szanowni Państwo
Uprzejmie informujemy, że w dzienniku ustaw z dnia 20 września 2022 r. (Dz.U. z 2022 r. poz. 1975) zamieszczono wzory oświadczeń składanych przez odbiorców ciepła (wspólnoty, spółdzielnie i inne podmioty wrażliwe wymienione w art. 4 ust. 1 pkt. 4 ustawy z dnia 15 września 2022 r. o szczególnych rozwiązaniach w zakresie niektórych źródeł ciepła w związku z sytuacją na rynku paliw).
Prosimy o wypełnienie oświadczeń i ich zwrot w terminie do 21 dni liczonych od dnia następującego po dniu ogłoszenia ustawy
1. Oświadczenie dla wspólnot mieszkaniowych oraz spółdzielni mieszkaniowych:
2. Oświadczenie dla pozostałych odbiorców wrażliwych:
/pliki/pecpultusk/oswiadczenie_odbiorcy_ciepla_-_art._6_ust._1_pozostali_odbiorcy_wrazliwi.docx
Artykuł do Pułtuskiej Gazety Powiatowej
1. Temperatura spadła bardzo gwałtownie, w mieszkaniach jest zimno – kiedy mieszkańcy bloków będą mieć ciepłe grzejniki? Czy będzie to standardowy termin czy może będą jakieś opóźnienia w związku z sytuacją na rynku?
Obecnie nie ma określonego prawem terminu, w którym należy ogrzewać mieszkania. PEC całym rokiem dostarcza ciepłą wodę dla odbiorców i jeżeli byłaby taka potrzeba mógłby dostarczać również ciepło do mieszkań. Od kiedy, w jakim czasie jest dostarczane ciepło do grzejników mieszkań czy innych pomieszczeń zależy wyłącznie od zarządcy, właściciela nieruchomości. Jest to bardzo dobre pytanie, żeby raz na zawsze wyjaśnić kto za co odpowiada w procesie grzewczym. PEC produkuje ciepło, przesyła to ciepło do węzłów ciepłowniczych, wymienników ciepła – to co dalej się „dzieje” jest zależne od zarządcy nieruchomości. Ustalenie temperatury ciepła i ciepłej wody dla odbiorców reguluje zarządca budynku. Spółka dostarcza do węzła taką ilość energii jaką zarządcy zamawiają, aby zabezpieczyć odbiorcom temperaturę zgodnie
z normami. W przypadku jakichkolwiek niedogodności proszę zawsze kontaktować się z administratorem budynku, reasumując, to od administratorów budynku zależy temperatura ciepłej wody i temperatura centralnego ogrzewania.
2. W budynkach wielorodzinnych pojawiły się kartki z informacją o drastycznej podwyżce kosztów ogrzewania. Jak kwotowo będzie wyglądała ta podwyżka
w przeliczeniu na mieszkańca?
W Polsce funkcjonuje system nadzoru Państwa poprzez Urząd Regulacji Energetyki, który zatwierdza tzw. Taryfy dla ciepła, które są ustalane dla każdego wytwórcy energii. Ustalenie kosztów wytwarzania 1 GJ polega na przedstawieniu kosztów, jakie spółka ponosi przy produkcji ciepła, który się określa ceną 1 GJ, czyli nie zatwierdza na tzw. „ładne oczy”, zaś za faktyczne koszty poniesione przy produkcji.
Głównym kosztem w cenie energii jest nośnik energii czyli miał węglowy, gaz, olej opałowy. Do 2020r. zgodnie ze sprawozdaniami stanowił około 30% ogólnych kosztów spółki przy cenie węgla średnio netto 337zł./tonę w 2021r. Natomiast przy cenie netto 1980 zł./tonę może to być około 70% - kosztów całkowitych funkcjonowania Spółki. Wzrost ceny miału wynosi 587%, natomiast wzrost taryfy dla ciepła licząc od 1 października 2022r. wyniesie 241% w stosunku taryfy dla ciepła obowiązującej od grudnia 2021r. a w stosunku
do II zmiany XIII taryfy dla ciepła obowiązującej od 1.06.2022r. wzrośnie o 55,56%.
Warto w tym miejscu zaznaczyć, że w przypadku kotłowni gazowych: KEN, Warszawska, Plac Teatralny 4 ( którzy odbierają 12,89% wytworzonego przez PEC ciepła) – cena w taryfie za ciepło zmniejszyła się o 3,97% w stosunku
do poprzedniej taryfy z 2021r., ponieważ spółka posiada 2 – letnią umowę do końca 2022 roku, która gwarantuje stałą cenę zakupu gazu.
Ostatnio pojawiła się informacja w lokalnej prasie, że w Pułtusku jest najdroższa energia cieplna. Nie jest to informacja obiektywna, ponieważ PEC Pułtusk podaje ceny z taryfy, które będą obowiązywać od 1 października 2022r. w związku ze zmianą taryfy dla ciepła, natomiast w ościennych miastach są procedowane podwyżki taryfy, a taryfy tam obowiązujące są sprzed kilku miesięcy.
Cena GJ zależy również od specyfiki zakładu (Spółki) produkującego energie tj.: od wielkości produkcji energii. Istotnym kosztem zakupu miału jest jego transport.
PEC Pułtusk Sp. z o.o. nie ma możliwości transportu miału koleją, który jest transportem tańszym, natomiast ościenne PEC-e posiadają własne bocznice kolejowe, które umożliwiają im transport bezpośrednio z kopalni, a na to nie mamy wpływu.
3. Czy ta podwyżka będzie obowiązywała do końca sezonu, czy możemy się spodziewać kolejnych?
Ustawa z dnia 15 września 2022 r. o szczególnych rozwiązaniach w zakresie niektórych źródeł ciepła w związku z sytuacją na rynku paliw, która obowiązuje od 20 września 2022 roku przewiduje dla wytwórców obowiązek ustalenia ceny ciepła - tzw. średniej ceny wytwarzania ciepła z rekompensatą - na 150,95 zł za GJ netto dla ciepła wytwarzanego
w źródłach ciepła opalanych gazem ziemnym lub olejem opałowym, oraz 103,82 zł za GJ netto dla ciepła wytwarzanego w pozostałych źródłach ciepła. Dla odbiorców ciepła, których obejmuje rekompensata, do tej średniej ceny wytwarzania ciepła z rekompensatą należy doliczyć koszty przesyłu zgodnie z obowiązującą taryfą. Ustawa nie przewiduje rekompensaty za przesył ciepła, który w PEC Pułtusk od 1.10.2022r.dla odbiorców ciepła z grupy A – ciepłownia ul. Kolejowa 8 – nośnik energii - miał węglowy będzie wynosiła średnio netto około 21 zł/GJ.
Rekompensata może objąć jedynie sprzedaż ciepła dla gospodarstw domowych oraz wskazanych w ustawie podmiotów, m.in.: wspólnot mieszkaniowych, spółdzielni dostarczających ciepło do lokali mieszkalnych, placówek systemu ochrony zdrowia, systemu oświaty, szkolnictwa wyższego i nauki, żłobków, klubów dziecięcych, kościołów i związków wyznaniowych, placówek kulturalnych, straży pożarnych, pozarządowych organizacji pożytku publicznego, spółdzielni socjalnych.
System rekompensat będzie działać od 1 października 2022 do 30 kwietnia 2023r.
Kwestie związane z wypłatą i rozliczeniem rekompensat koncesjonowanych przedsiębiorstw energetycznych będzie prowadzić Zarządca Rozliczeń S.A., natomiast przedsiębiorstwa energetyczne nie posiadające obowiązku przedkładania Prezesowi Urzędu Regulacji Energetyki będą rozliczane w gminach.
4. W sierpniu w komunikacie PEC zapewnił, że w okresie grzewczym 2022/2023 nie zabraknie energii cieplnej w naszym mieście. Czy podtrzymuje Pan to zapewnienie?
PEC ma podpisane umowy na dostawę miału, gazu (z PGNiG) oraz oleju napędowego. Jeśli nie wystąpią jakieś nadzwyczajne okoliczności nie ma obaw o braki energii cieplnej w naszym mieście.
|
Pułtusk, dnia 31.07.2020 roku.
ZAWIADOMIENIE
Przedsiębiorstwo Energetyki Cieplnej w Pułtusku Sp. z o.o. informuje, że od dnia 03.08.2020 roku do dnia 14.08.2020 roku, nastąpi przerwa w dostawie ciepłej wody użytkowej. Przerwa ta spowodowana jest remontem ciepłowni przy ul. Kolejowej 8. Za niedogodności spowodowane brakiem ciepłej wody użytkowej serdecznie przepraszamy. Dołożymy wszelkich starań, żeby przerwa ta trwała jak najkrócej. Zarząd PEC Pułtusk Sp. z o.o. |
--------------------------------------------------------------------------------------------------------------------------------------------
KOMUNIKAT ZARZĄDU PEC PUŁTUSK Sp. z o.o.
z dnia 30.03.2020 roku
Zgodnie z Uchwałą nr. 4/2020 Zarządu Przedsiębiorstwa Energetyki Cieplnej w Pułtusku Sp. z o.o. w sprawie organizacji pracy w PEC Pułtusk Sp. z o.o. w związku z zagrożeniem rozprzestrzeniania się koronwirusa COVID-19 zmiany w organizacji pracy PEC Pułtusk Sp. z o.o. wprowadzone Uchwałą Zarządu 2/2020 z dnia 23.03.2020 roku obowiązują do odwołania.
Treść Uchwały Zarządu PEC Pułtusk Sp. z o.o. 4/2020 z dnia 30.03.2020r.
uchwala_nr_4-2020_zarzadu_pec_pultusk_sp._z_o.o._z_dnia_30.03.2020_roku.pdf
-----------------------------------------------------------------------------------------------------------------
KOMUNIKAT ZARZĄDU PEC PUŁTUSK Sp. z o.o.
Zgodnie z Uchwałą nr. 2/2020 Zarządu Przedsiębiorstwa Energetyki Cieplnej w Pułtusku Sp. z o.o. w sprawie organizacji pracy w PEC Pułtusk Sp. z o.o. w związku z zagrożeniem rozprzestrzeniania się koronwirusa COVID-19 wprowadza się zmiany w organizacji pracy.
W związku z zagrożeniem epidemiologicznym związanym z koronawirusem
Przedsiębiorstwo Energetyki Cieplnej w Pułtusku Sp. z o.o.
nie obsługuje interesantów w kontakcie bezpośrednim.
- Ogranicza się wstęp osób postronnych na tereny obiektów Spółki. Wstęp mają tylko osoby zapewniające normalne funkcjonowanie Spółki.
- Wnioski o wydanie warunków przyłączeniowych, lub inne pisma należy kierować do naszej Spółki tylko i wyłącznie za pośrednictwem Poczty Polskiej, lub poczty elektronicznej tj.: pec@pultusk.pl
Zachęcamy do kontaktu drogą poczty elektronicznej lub telefonu, prosząc jednocześnie naszych odbiorców o zastosowanie tej formy komunikacji.
Ważne numery telefonów:
-
Biuro Mickiewicza 36, 06-100 Pułtusk
Sekretariat / Dyrektor tel.(23)-692-31-47
e-mail: pec@pultusk.pl
-
Budynek Ciepłowni Miejskiej ul. Kolejowa 8, 06-100 Pułtusk
Wicedyrektor / Sprawy techniczne, awarie tel. (23) -692-03-59
e- mail: cieplowniapultusk@wp.pl
Wszelkie druki odnośnie warunków przyłączeniowych są do pobrania bezpośrednio ze strony:
http://www.pec-pultusk.bip.org.pl/?tree=106,ZAŁĄCZNIKI
Nr konta bankowego : Bank PEKAO S.A. O/ Pułtusk 08 1240 5309 1111 0000 5044 9312
Treść Uchwały Zarządu PEC Pułtusk Sp. z o.o. 2/2020 z dnia 23.03.2020r.
uchwala_nr_2-2020_zarzadu_pec_pultusk_sp._z_o.o._z_dnia_23.03.2020_roku.pdf
------------------------------------------------------------------------------------------------------------------------------------------------------
- Informację wprowawdził(a) do BIP: administraror
- Data udostępnienia w BIP: 2020-03-23 00:00:00
- Informacja zaktualizowana przez: Administrator
- Data ostatniej aktualizacji: 2026-03-25 10:48:53
- Liczba odsłon: 9363
- Historia dokumentu: